Beranda
/ Integral Tak Tentu Contoh Soal : Contoh Soal Dan Jawaban Integral Tak Tentu Kumpulan Contoh Surat Dan Soal Terlengkap / Integral tak tentu bisa dikatakan sebuah fungsi baru yang memiliki turunan dari fungsi asli.
Integral Tak Tentu Contoh Soal : Contoh Soal Dan Jawaban Integral Tak Tentu Kumpulan Contoh Surat Dan Soal Terlengkap / Integral tak tentu bisa dikatakan sebuah fungsi baru yang memiliki turunan dari fungsi asli.
Integral Tak Tentu Contoh Soal : Contoh Soal Dan Jawaban Integral Tak Tentu Kumpulan Contoh Surat Dan Soal Terlengkap / Integral tak tentu bisa dikatakan sebuah fungsi baru yang memiliki turunan dari fungsi asli.. Cara membaca integral tak tentu. Notasi integral tak tentu perhatikan kembali definisi integral tak tentu di atas. Integral tak tentu adalah suatu bentuk operasi integral (anti turunan, saling invers dengan penurunan) suatu fungsi yang belum memiliki nilai pasti berupa variabel, sehingga menghasilkan suatu fungsi baru berupa fungsi tak tentu yang disebut. Integral tak tentu ialah operasi integral yang berkebalikan atau invers dengan turunan. Antiderivatif atau integral tak tentu yang jika dalam bahasa inggris adalah indefinite integral merupakan sebuah bentuk sistem operasi.
Integral tentu dan integral tidak tentu beserta sifatnya untuk mempermudah pengerjaan. Integral tak tentu ialah operasi integral yang berkebalikan atau invers dengan turunan. Kumpulan rumus soal integral dan contoh soal integral. Tutorial menghitung integral tak tentu 2 bentuk pecahan matematika sma. Rumus dasar integral tak tentu.
Integral Integral Tentu Tak Tentu Substitusi Parsial Trigonometri Soal from www.yuksinau.id Proses memecahkan antiderivatif yaitu antidiferensiasi antiderivatif yang terkait dengan. Sekian dari rumuspintar, selamat belajar. Jika kurva melalui (2, 5) maka koordinat. Demikian beberapa latihan soal integral tentu, integral tak tentu, integral parsial beserta pembahasannya. Pada subbab ini, akan dibahas integral fungsi aljabar saja. Notasi c ini biasa disebut sebagai konstanta integral. Terakhir adalah contoh soal integral fungsi aljabar bentuk akar, kamu masih ingat kan bentuk akar itu bisa diubah menjadi bentuk eksponen? Mengetahui pengertian integral tentu, tak tentu, subtitusi, parsial dan trigonometri + penyelesaian.
Pada subbab ini, akan dibahas integral fungsi aljabar saja.
Fungsi ini belum memiliki nilai pasti (berupa variabel) sehingga cara pengintegralan yang menghasilkan fungsi tak tentu ini. Integral adalah sebuah konsep penjumlahan secara berkesinambungan dalam matematika, dan bersama dengan inversnya, diferensiasi, adalah satu dari dua operasi. Selanjutnya saya akan membagikan membagikan rumus dan contoh soal integral tentu ataupun tak tentu. Berikut ini adalah pembahasan mengenai integral lengkap yang meliputi rumus dan penjelasan mengenai integral tentu da integral tak tentu. Integral tak tentu bisa dikatakan sebuah fungsi baru yang memiliki turunan dari fungsi asli. Terakhir adalah contoh soal integral fungsi aljabar bentuk akar, kamu masih ingat kan bentuk akar itu bisa diubah menjadi bentuk eksponen? Adapun cara menghitung soal integral tak tentu adalah dengan rumus berikut ini. Integral tak tentu yang seperti sebelumnya dijelaskan adalah merupakan sebuah invers atau kebalikan dari turunan. Integral tak tentu (indefinite integral/antiderivatif) merupakan sebuah bentuk operasi pengintegralan pada suatu fungsi yang menghasilkan suatu fungsi dengan syarat apabila n ≠ 1. Antiderivatif atau integral tak tentu yang jika dalam bahasa inggris adalah indefinite integral merupakan sebuah bentuk sistem operasi. Notasi integral tak tentu perhatikan kembali definisi integral tak tentu di atas. Contoh soal rumus integral kalkulus integral tak tentu tertentu pengertian substitusi parsial penggunaan pembahasan fungsi aljabar luas volume benda putar matematika pernahkah kalian memperhatikan bentuk kawat kawat baja yang menggantung pada jembatan gantung. Rumus integral tak tentu, pengertian integral, apa itu integral tak tentu, latihan soal integral tentu nah berhubung terlebih dahulu kita akan pelajari tentang integral tak tentu, maka dalam tutorial ini kita akan coba memahami beberapa konsep penting tentang integral tak tentu yang kemudian.
Dengan nilai c bisa berapapun jumlahnya. Integral tak tentu bisa dikatakan sebuah fungsi baru yang memiliki turunan dari fungsi asli. Demikian beberapa latihan soal integral tentu, integral tak tentu, integral parsial beserta pembahasannya. Integral tak tentu adalah suatu bentuk operasi integral (anti turunan, saling invers dengan penurunan) suatu fungsi yang belum memiliki nilai pasti berupa variabel, sehingga menghasilkan suatu fungsi baru berupa fungsi tak tentu yang disebut. Mengetahui pengertian integral tentu, tak tentu, subtitusi, parsial dan trigonometri + penyelesaian.
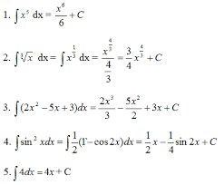
Contoh Soal Integral Tak Tentu from 3.bp.blogspot.com Integral dapat diartikan sebagai kebalikan dari proses differensiasi. Simak lah contoh soal integral berikut ini dapat diselesaikan menggunakan rumus substitusi di bawah. Integral tak tentu ini dari suatu fungsi dinotasikan sebagai berikut Integral tak tentu selalu menghasilkan konstanta yang besarnya tidak tentu. Pada postingan ini kita membahas contoh soal integral tak tentu dan penyelesaiannya atau pembahasannya. Contoh soal rumus integral kalkulus integral tak tentu tertentu pengertian substitusi parsial penggunaan pembahasan fungsi aljabar luas. Kompas.com/rigel raimardacover contoh soal integral tak tentu. Integral tak tentu bisa dikatakan sebuah fungsi baru yang memiliki turunan dari fungsi asli.
Adapun cara menghitung soal integral tak tentu adalah dengan rumus berikut ini.
Integral tak tentu (indefinite integral/antiderivatif) merupakan sebuah bentuk operasi pengintegralan pada suatu fungsi yang menghasilkan suatu fungsi dengan syarat apabila n ≠ 1. Terdapat beberapa operasi integral yaitu integral tentu, tak tentu jika f berupa integral tak tentu dari suatu fungsi f maka f'= f. Proses memecahkan antiderivatif yaitu antidiferensiasi antiderivatif yang terkait dengan. Dengan nilai c bisa berapapun jumlahnya. Simak lah contoh soal integral berikut ini dapat diselesaikan menggunakan rumus substitusi di bawah. Soal dan pembahasan integral fungsi aljabar. Jika kurva melalui (2, 5) maka koordinat. Contoh soal integral dan pembahasannya lengkap akan dibahas pada artikel ini. Rumus dasar integral tak tentu. Setelah mempelajari dan memahami materi turunan/diferensial, maka sudah tidak sulit lagi untuk mempelajari materi integral. Kumpulan soal mudah sedang sukar. Tutorial menghitung integral tak tentu 2 bentuk pecahan matematika sma. Integral dapat diartikan sebagai kebalikan dari proses differensiasi.
Jika kurva melalui (2, 5) maka koordinat. Rumus, tak tentu, tentu, dan contoh soal. Integral tak tentu dalam bahasa inggris biasa di kenal dengan nama indefinite integral ataupun kadang juga di sebut antiderivatif yang merupakan suatu bentuk operasi pengintegralan pada suatu akan tetapi, dalam kasus tidak diketahui fungsi awal dari suatu turunan. Pelajari rangkuman materi integral dilengkapi dengan contoh soal integral beserta pembahasan & jawaban lengkap dari soal un dan sbmptn untuk kelas 11. Integral tak tentu ini dari suatu fungsi dinotasikan sebagai berikut
Penerapan Integral Tak Tentu Materi Lengkap Matematika from 2.bp.blogspot.com Yang mana, apabila sebuah turunan dari suatu fungsi, jika diintegralkan akan menghasilkan sebuah fungsi itu sendiri. Cara membaca integral tak tentu. Selanjutnya saya akan membagikan membagikan rumus dan contoh soal integral tentu ataupun tak tentu. Soal dan pembahasan integral fungsi aljabar. Informasi yang kami ambil dari beberapa sumber bacaan. Contoh soal rumus integral kalkulus integral tak tentu tertentu pengertian substitusi parsial penggunaan pembahasan fungsi aljabar luas volume benda putar matematika pernahkah kalian memperhatikan bentuk kawat kawat baja yang menggantung pada jembatan gantung. 8 contoh soal dan pembahasan integral. Kumpulan soal mudah sedang sukar.
Integral tak tentu ialah operasi integral yang berkebalikan atau invers dengan turunan.
Integral adalah sebuah konsep penjumlahan secara berkesinambungan dalam matematika, dan bersama dengan inversnya, diferensiasi, adalah satu dari dua operasi. Simak lah contoh soal integral berikut ini dapat diselesaikan menggunakan rumus substitusi di bawah. Berikut ini adalah pembahasan mengenai integral lengkap yang meliputi rumus dan penjelasan mengenai integral tentu da integral tak tentu. Pada bagian sebelumnya, kalian telah mengetahui bahwa integral merupakan antiturunan. Adapun cara menghitung soal integral tak tentu adalah dengan rumus berikut ini. 8 contoh soal dan pembahasan integral. Integral tak tentu bisa dikatakan sebuah fungsi baru yang memiliki turunan dari fungsi asli. Pada subbab ini, akan dibahas integral fungsi aljabar saja. Supaya konstanta ini tentu maka kita harus tahu nilai fungsi pada salah satu contoh soal 3 : Sekian dari rumuspintar, selamat belajar. Jika kurva melalui (2, 5) maka koordinat. Integral tentu dan integral tidak tentu beserta sifatnya untuk mempermudah pengerjaan. Mengetahui pengertian integral tentu, tak tentu, subtitusi, parsial dan trigonometri + penyelesaian.
Berbagi
Posting Komentar
untuk "Integral Tak Tentu Contoh Soal : Contoh Soal Dan Jawaban Integral Tak Tentu Kumpulan Contoh Surat Dan Soal Terlengkap / Integral tak tentu bisa dikatakan sebuah fungsi baru yang memiliki turunan dari fungsi asli."
Posting Komentar untuk "Integral Tak Tentu Contoh Soal : Contoh Soal Dan Jawaban Integral Tak Tentu Kumpulan Contoh Surat Dan Soal Terlengkap / Integral tak tentu bisa dikatakan sebuah fungsi baru yang memiliki turunan dari fungsi asli."